Leserbrief
Einigen Widerspruch hat der Artikel des ??? von unseren naturwissenschafltichen Leserinnen erfahren müssen. Die programmatische Skizze war doch in Teilen noch grob und leider auch – konfus! Von den diese Sache betreffenden Zuschriften drucken wir hier die Beste ab. ??? – kein Mitglied der Redaktion – bleibt leider bei seiner Darstellung und wir überprüfen derzeit, ob eine weitere Zusammenarbeit noch möglich ist. Angekündigt war ein Artikel über komplexe Zahlen und die Konfusion in der Determinantenberechnung, d.i. die Volumenberechnung eines Paralleloids – insbesondere sollte hier der Frage nach einem negativen Volumen nachgegangen werden und einige Aspekte des großen Metaphysikers Leibniz zu ihrem Recht kommen. Einige berufliche Probleme mit der Spektralverteilung des Lichtes der entfernten Sterne – eventuell mit der ominösen Antimaterie zusammenhängend – haben seinen Essay verzögert, so daß uns Zeit bleibt, die Tragweite dieses neuerlichen Parteienhaders zu übersehen.
Liebe Redaktion des Magazins, sehr geehrter ???,
zunächst natürlich allen Respekt vor dem bübischen Ansturm auf die Bastille der Naturwissenschaft. Es ist ja tatsächlich schon länger kein solcher versucht worden, obwohl keiner an der Notwendigkeit desselben zweifelt – zumindest nicht wenn er resp. sie die Physik studiert und so der grandiosen Konfusion in diesem Fach schnell gewahr geworden ist. Also viel Erfolg im Kampf gegen die Pfaffen.
Nur Ihre Kur krankt selbst am Konfusionismus. Ein Beispiel. Erwähnt wurde die euklidische Geometrie, als der Feldvermessung entsprungene Abstraktionsleistung. Also wahrhaft entsprungen ist sie der Feldvermessung. Denn die Ägypter hatten eine Feldvermessungsgeometrie. Sie benutzten tatsächlich Seile, um weniger zu rechnen als zu konstruieren. Ihre Geometrie war doch sehr sinnlich begrenzt. Dagegen befand sich die euklidische Geometrie bereits eine Stufe höher in der ewigen Leiter der Abstraktion und hatte keine Seile mehr nötig. Es scheint mir doch so, daß man sich, wenn man denn schreibt, bei jedem Satz auch etwas denken sollte. Es ist doch recht verwirrt, Ägypten nach Griechenland zu versetzen!
Nun aber zu Ihrer Abhandlung der Infinitesimalrechnung. Naiv führen Sie das Infinitesimal dx als Größe ein. Eben als solche wird sie im nächsten Schritt zwar aufgelöst und ganz richtig als Symbol für Dynamik in der zunächst statischen Geometrie benannt. Als Infinitesimal ist sie aber nicht Entstehen und Verschwinden, sondern eine grobe Verdinglichung. Es gibt keine unendlich kleine Größe! Das alles steht zumindest impliziert – wenn auch nicht so explizit, wie man es sich wünschte – in Ihrem Text. Aber warum der Spott gegen Newton, bei dem es bereits diese statischen unendlich kleinen Größen nicht mehr gibt und der statt dessen von Fluxionen spricht, also von fließenden und tatsächlich verschwindenden Größen bzw. Verhältnissen? Und warum in Gottes Namen dieser Spott über die moderne Grenzwertmethode??
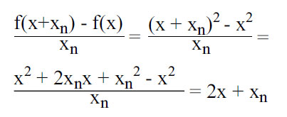
Aber warum – lieber ??? – rechnen wir nicht ein bißchen? Nehmen wir dieselbe Funktion wie Sie: f(x) = x² und berechnen nach der modernen Methode die Steigung in einem Punkt.
Statt einer mystischen infinitesimalen Größe dx führen wir ein neues dynamisches Objekt ein: eine Folge xn, wobei n ein fortlaufender Index, so daß die Folge aus den Zahlen x1, x2, x3, … besteht. Z.B. 1, 2, 3, 4… wäre eine solche triviale Folge. Aber hier besser: 1, ½, ¼, 1/8, … Diese Folge nämlich verschwindet, bzw. wird Null, wenn man sich n ins Unendliche umgeschlagen denkt, so daß sie für unseren Fall taugt. Nun erscheint die vorläufige Ableitung wie folgt:
Soweit nun tatsächlich nichts Mystisches mehr. Für jeden konkreten Wert xi der Folge ist die Steigung der Sehne ausrechenbar. Es gilt Ihre Voraussetzung A und xn ist größer als Null. Wir wollen aber die Ableitung in einen Punkt, und also nun lassen wir die Folge verschwinden (Wir lassen Voraussetzung A in Nicht A umschlagen):
Voilà:
wie gewünscht. Nur eine kleine Änderung in der mathematischen Sprache und schon wird offenbar, was in der zur unendlich kleinen Größe verdinglichten Gestalt zunächst Verwirrung auslöst: Man läßt gewissermaßen tatsächlich ein Verhältnis verschwinden, indem man einen Grenzwert bildet. Die dafür gebildete Folge ist dynamisch und man kann sie ins Unendliche umschlagen lassen: Denn trotz, oder besser: wegen der Unendlichkeit ist der Wert der Folge exakt mit 2x bestimmt. Die Folge verliert sich nicht in der „schlechten Unendlichkeit“, sondern sie konvergiert tatsächlich. Ob nun die Herren Mathematiker auch wissen, was sie treiben? – Keine Ahnung. Aber diese Formulierung ist zumindest ein Fortschritt gegen die von Ihnen gewählte. Die Unanwendbarkeit des Satzes des Ausgeschlossenen Dritten auf das Infinitesimal ist nur dem abstrakten Verstand ein Problem, da dieser glaubt, dieses dx sei ein Ding. Dynamisch hat dieser Satz aber nur einen sehr beschränkten Sinn, da im Prozess nichts sich selbst gleich bleibt. Die Steigung einer Tangente, als von ihrer Umgebung abhängig, ist natürlich nur dynamisch zu berechnen, also mit einer konvergierenden Folge. (Überhaupt ist Geschwindigkeit eine dynamische Kategorie.)
Weil der Autor dieser kleinen Zuschrift eine, wie er sagt, gute Stellung als Unteroffizier des Kapitals einnimmt, wollte er uns seine Identität nicht preisgeben.
